Метод эквивалентного генератора
Метод эквивалентного генератора напряжения называют иногда методом короткого замыкания и холостого хода или методом активного двухполюсника. С его помощью определяется ток в определенной ветви схемы. Назовем ее АВ и предположим, что она содержит одно сопротивление R. Для нахождения тока в этой ветви размыкают ветвь и любым из рассмотренных выше методов определяют разность потенциалов и», на зажимах А, В разомкнутой ветви (режим холостого хода). Затем вычисляется сопротивление короткого замыкания R„„ равное эквивалентному сопротивлению остальной цепи. При этом имеющиеся в схеме источники должны быть выключены и заменены их внутренними сопротивлениями, а питание схемы осуществляется от постороннего источника, подключенного к зажимам А, В исследуемой ветви. Следующим этапом является режим короткого замыкания, при котором определяется ток 1„, в ветви АВ при закороченных зажимах А, В. Заметим, что этот этап не обязателен, если сопротивление Е„, удалось определить другим, более простым способом. Если же режим короткого замыкания все-таки пришлось применить, то в этом случае

и искомый ток в ветви определяется из выражения:


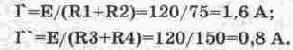
Перейдем к конкретному примеру. Для этого воспользуемся схемой на рис. 5.9, которая представляет собой мостовую схему из двух плеч, образованных резисторами Rl, R2, R3, R4. В одну диагональ моста включен идеальный источник напряжения Е и переключатель, управляемый клавишей Е клавиатуры. В другую диагональ моста включен резистор R5 с ключом X, который управляется одноименной клавишей. Нашей задачей является определение тока через резистор R5 в рабочем состоянии, когда ключ Х замкнут. В положении ключа X, показанном на схеме (ключ разомкнут), реализуется первый этап моделирования — режим холостого хода ветви CD. В этом режиме через сопротивления Rl, R2 протекает ток Г, а через сопротивления R3, R4 — ток I", которые равны соответственно

При этом потенциалы в точках С и D определяются падениями напряжений на резисторах Rl и R3:

Располагая потенциалами точек С и D, нетрудно найти и напряжение между ними, которое равно напряжению холостого хода:

что соответствует показаниям мультиметра на рис. 5.9.
Теперь найдем сопротивление короткого замыкания. Как отмечалось выше, сделать это можно двумя способами.
1. Путем непосредственного расчета с использованием данных схемы. В этом случае источник Е нужно выключить, оставив его внутреннее сопротивление, равное в данном случае нулю. Сопротивление короткого замыкания будет равно сопротивлению цепи между точками С и D:

При моделировании на схеме рис. 5.9 необходимо ключ Е перевести в другое положение, а мультиметр — в режим омметра. Результаты таких действий показаны на рис. 5.10, откуда видно, что результаты проведенного расчета полностью подтверждаются результатами моделирования.


2. Искомое сопротивление можно найти и другим путем. Для этого нужно замкнуть точки С и D накоротко, вычислить ток 1,з, протекающий через короткозамк-нутый участок, и сопротивление короткого замыкания определить по формуле (5.6). Для моделирования такого режима необходимо ключ Е вернуть в исходное состояние, а мультиметр перевести в режим амперметра. Результаты моделирования показаны на рис. 5.11, из которого видно, что ток короткого замыкания равен 0,5 А. Тогда на основании формулы (5.6) R„,=24/0,5=48 Ом.
Теперь можно определить и искомый ток, используя формулу (5.7):

Для моделирования схемы в таком режиме ключ Х необходимо замкнуть, а мультиметр перевести в режим вольтметра. Результаты моделирования показаны на рис. 5.12, из которого видно, что падение напряжения на резисторе R5 равно 4,8 В, т.е. ток в цепи равен 4,8/12=0,4 А, что совпадает с расчетным значением.

Кроме метода эквивалентного генератора напряжения, существует также и метод эквивалентного генератора тока. Его применение основано на взаимных преобразованиях источника тока и источника напряжения с использованием формул (5.1) и (5.2). Метод эквивалентного генератора тока на практике нашел ограниченное применение, поэтому рассматривать его не будем.
Контрольные вопросы и задания
1. Какие законы теории цепей используются в методе эквивалентного генератора?
2. Проведите расчеты и моделирование рассмотренной мостовой схемы во всех режимах при сопротивлении резистора R5=6 Ом.
3. Рассчитайте ток через сопротивление R2 схемы на рис. 5.5, б методом эквивалентного генератора напряжения, сопровождая расчет моделированием.